Вследствие неизбежного при входе лопасти в воду проникновения атмосферного воздуха в область разрежения, т. е. на засасывающую сторону лопасти, гидродинамические коэффициенты упора КT и момента KQ могут снизиться на порядок своей величины.
Исследованиями установлено, что кривые изменения этих коэффициентов мало зависят от относительной поступи гребного винта

(где v — скорость поступательного движения винта; n — частота вращения; D —- диаметр винта) вплоть до критической ее величины.
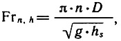
Эту критическую величину поступи можно определить по графику зависимости начального числа Фруда

(где g — ускорение силы тяжести; hs — погружение оси винта от свободной поверхности воды) от относительной поступи, выраженной в долях поступи нулевого упора.
Приближенно поступь нулевого упора можно принять равной геометрическому шагу винта на рабочем радиусе, а начальное число Фруда — соответствующим началу аэрации гребного винта.
Как видно из графика, начальное число Фруда зависит от конфигурации лопастей. Раньше других аэрация возникает у винтов с саблевидными лопастями1, имеющими авиационный профиль поперечного сечения; позже всего — у винтов с полу-эллиптическими лопастями и клиновым профилем.
Автором разработан гребной винт нового типа — частично погруженный винт со стреловидной формой контура лопастей (заявка на изобретение № 4850925/11 с приоритетом от 11 июня 1990 г.). В ходовых режимах аэрация винта с такими лопастями наступает позже, чем на винтах других типов.
На приводимых рисунках даны общий вид, теоретический чертеж и кривые действия для одной из моделей такого винта — четырехлопастного гребного винта с диаметром 0,20 м, шаговым отношением 1,2 и дисковым отношением 0,9.
Как видно из сравнения кривых действия для hs/D=1,5; 0,5 и — 0,1 на ходовых поступях гребного винта в области максимума коэффициента полезного действия, равного

и при отсутствии кавитации, величина КПД такого винта практически не зависит от относительного погружения винта.
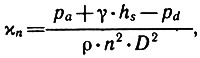
Кроме того, при испытаниях модели гребного винта в кавитационном бассейне было установлено, что для предельно малых значений числа кавитации

(где ра — атмосферное давление; pd — давление насыщенных паров воды; γ — удельный вес воды; ρ — массовая плотность воды), например для хn=0,2 снижение КПД отмечается лишь для hs/D=—0,1, когда ступица винта касается невозмущенной поверхности воды сверху, причем это снижение не превышает 10%.
Из последнего обстоятельства можно сделать вывод о целесообразности полного погружения диска винта нового типа под поверхность воды — при использовании его в режимах естественной вентиляции. В этом случае реализуется вдвое больший коэффициент упора при в 2,5 раза большей используемой площади диска винта, что в целом обеспечивает пятикратное увеличение упора, по сравнению с погружением гребного винта до его ступицы.
В сравнении с гребным винтом, имеющим саблевидные лопасти и сходные другие геометрические характеристики, винт со стреловидными лопастями имеет КПД на 30% выше и развивает в 1,2 раза больший упор в частично погруженных режимах работы.
При работе в режиме полного погружения КПД винта повышается на 5% в случае бескавитационного обтекания и на 15% в условиях кавитации. О более позднем возникновении аэрации винта со стреловидными лопастями в ходовых режимах работы уже говорилось выше.
Повышение эффективности предлагаемого гребного винта объясняется особенностями обтекания треугольного крыла малого удлинения с вырезом у задней его кромки — именно такую форму имеют лопасти винта. Пик разрежения имеет меньшую величину и отстоит от входящей кромки крыла вдвое дальше, чем у прямоугольного крыла такого же удлинения. Влияние кавитации по этим причинам проявляется позже и в меньшей мере.
Вырез у задней кромки треугольного крыла, обращающий это крыло в стреловидное, позволяет исключить неэффективную часть его площади, на которой перепад давления между нагнетающей и засасывающей сторонами крыла невелик, а вязкостное сопротивление достаточно значимо. Согласно данным, приводимым в руководствах по аэродинамике самолета, вырез позволяет снизить сопротивление движению крыла почти в два раза.
Со скошенных передних кромок треугольного или стреловидного крыла сбегают свободные вихри, их пелена сворачивается над крылом и своей областью разрежения ложится на засасывающую поверхность. В результате подъемная сила крыла возрастает, по сравнению с прямоугольным крылом такого же удлинения. Этот эффект проявляется при удлинениях крыла в пределах от 1 до 2.
Вход в воду лопасти со стреловидной передней кромкой происходит не по всей кромке одновременно, а постепенно — последовательными участками вплоть до погружения задней кромки. В результате сопротивление входу лопасти значительно уменьшается.
А. Коршунов, к. т. н.; ЦНИИ им. академика А. Н. Крылова.
Примечания
1. См. статью Н. Корытова «Гребные винты повышенной эффективности» в «КиЯ» №132 за 1988 г.




